Salta al contenuto principale

Tariffe Tempo Estivo nido

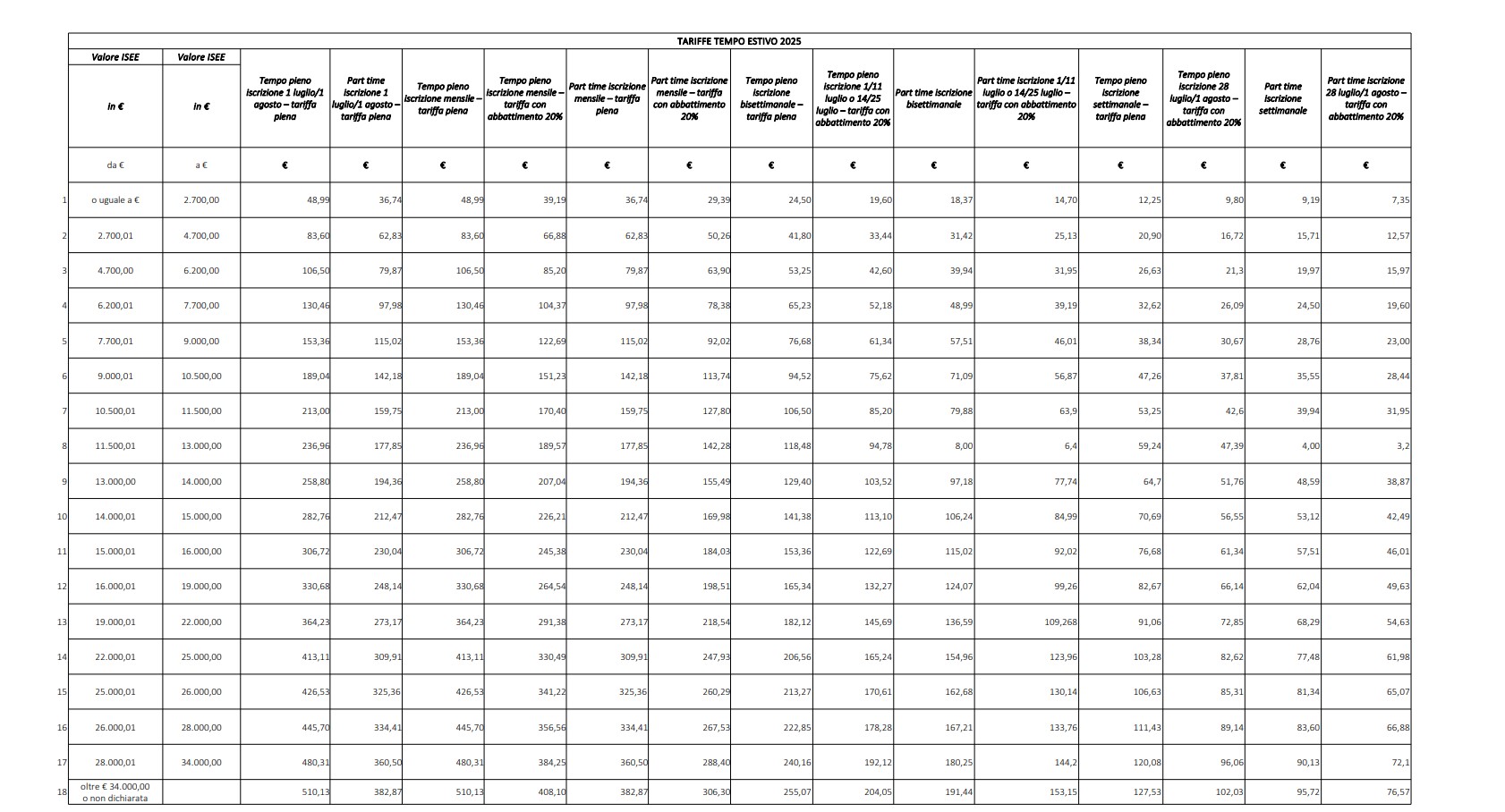
Il servizio estivo sarà organizzato per accogliere le bambine e i bambini frequentanti i nidi d'infanzia comunali

Tipi di documento:
Argomenti:
Istruzione
Municipium

Formati disponibili

jpg

Municipium

Licenza di distribuzione

Municipium

Data inizio

19/02/2025
Municipium

Data fine

19/03/2025

Ultimo aggiornamento: 17 febbraio 2025, 12:00

Quanto sono chiare le informazioni su questa pagina?

Valuta il Servizio

Grazie, il tuo parere ci aiuterà a migliorare il servizio!

Quali sono stati gli aspetti che hai preferito?

1/2

Dove hai incontrato le maggiori difficoltà?

1/2

Vuoi aggiungere altri dettagli?

2/2

Inserire massimo 200 caratteri
È necessario verificare che tu non sia un robot